Category Archives: Science

The Cry of Time

“And it seems to me that life, this brief life, is nothing other than this: the incessant cry of these emotions that drive us, that we sometimes attempt to channel in the name of a god, a political faith, in a ritual that reassures us that, fundamentally, everything is in order, in a great and boundless love — and the cry is beautiful. Sometimes it is a cry of pain. Sometimes it is a song.

And song, as Augustine observed, is the awareness of time. It is time. It is the hymn of the Vedas that is itself the flowering of time. In the Benedictus of Beethoven’s Missa Solemnis, the song of the violin is pure beauty, pure desperation, pure joy. We are suspended, holding our breath, feeling mysteriously that this must be the source of meaning. That this is the source of time.

Then the song fades and ceases. “The silver thread is broken, the gold lantern is shattered, the amphora at the fountain breaks, the bucket falls into the well, the earth returns to dust.” And it is fine like this. We can close our eyes, rest. This all seems fair and beautiful to me. This is time.”

— Carlo Rovelli, The Order of Time

Do You Remember?

This is a video of a marvelous poem by Marie Howe, illustrated by paper collage artist Elena Skoreyko Wagner and featuring original music by cellist Zoë Keating. As with most things, I found this video because is was shared by a friend on Facebook. And after I watched it, I wasn’t surprised to see that Maria Popova, the writer of BrainPickings, had helped the video come into being. Here is a link to her post about this poem and video.

Why You Want a Physicist to Speak at Your Funeral

There’s a short essay on the Internet about why one would want to have a physicist speak at one’s funeral, by Aaron Freeman. I find it comforting to a degree. Yet today I also found Anonymous’ response to it that resonated. We only have what is present in front of us, yet somehow the unboundedness and connection suggested here brings me comfort.

“If I had a physicist speak at my funeral, I would hope that he would talk about a lot more than the conservation of energy. I don’t particularly care about what happens to my energy.

If I am lucky, he will speak about relativity. My family will probably have the mistaken intuition that only things in the present are truly real. Teach them about spacetime. They need to know that time and space are connected – that me being in the past is just like me being far away. The difference is that we will only have one way communication. Even if they will no longer be able talk to me, I will still talk to them through memories.

If I am not so lucky, he will speak about quantum mechanics. If I die young, my family will be grieving over the potential future I have lost. Teach them about many worlds. They need to know that our world is constantly splitting – that just before I died, the world split off a different future in which I am still alive. There is another world, just as real as our own, in which I survive. This world will even interact with our own in very tiny ways.

I want a physicist to speak at my funeral. I want everyone to understand that my continued existence is way more verifiable than a religious afterlife and way more substantial than a simple conservation of energy.”

Anonymous

Gratitude

Despite the fatigue and pain in my body, despite the washing machine and the dishwasher being broken, despite the state of our country and the earth, I felt flooded with gratitude this morning as I took Bean to art camp for the day. I’m grateful for:

  • coffee, brewed strong and black
  • friends with kids who are willing to help fetch each other’s kids and take them places (it takes a village)
  • my husband’s reliability and humor
  • my daughter, who works so hard to find her way these days
  • the means to afford the repair bills, the art camp, the groceries
  • the spirit of animals, a chance to connect with pure consciousness
  • political resistance and the freedom to act
  • a chance to cherish life and death, creation, destruction, and renewal
  • all the mysteries of existence, the unanswered questions, and the chance to sit with not knowing
DSC07222

Recognition

Last night, I stretched before bed, a routine which helps bring sleep when I make the effort. At the end I lay on my back in what is called “corpse pose” in yoga.

As I lay quietly, I imagined my heart stopping suddenly. My breath ceasing. My brain shutting down, and with that, all awareness evaporating. The “me” that existed just gone. No more Kathryn. No afterlife awareness as Kathryn.

What arose for me: we are expressions of the Life force. The creations Life makes are temporary. They change, disintegrate, and the constituent parts are reabsorbed. The matter and energy become the source again. There is no soul identified as Kathryn. There is no awareness of others. In this way we are eternal and infinite, because our parts merge again with Life. But the death of the body is the death of the personality.

And for whatever reason, for the first time, that felt all right. True. Not scary. Not sad.

The National Park Service Rocks

Some years ago, Bean received a Junior Ranger Night Explorer booklet. I think it was at Bryce Canyon. She didn’t have a chance to complete it during our camping trip, so we brought it home.

A couple of years later, while at Glacier National Park, she completed the booklet. However, they didn’t have any on hand. So I began a search to find someone, someplace at the NPS to help us. I tried a few phone calls and emails to people I was referred to at the NPS directory, but no answer came.

Then one day I read someone’s blog that described getting one at Badlands National Park. So I called the office and spoke to the ranger. She told me to send the booklet to her attention and after review, it would be sent back with the patch. I mailed it off August 17, 2016.

Nothing came. Time passed. Still, nothing. September flew through our lives. We entered October. I gave it up as lost. I figured by now the park has closed for the season, so the earliest we’d ever see anything was in spring, if ever. Today, I came home to this in the mail:

jrranger1

We did a happy dance! Bean opened the envelope:

jrranger2

The booklet and my letter were enclosed. At first we thought that was it. Nothing else was in the envelope. Then the patch slipped out from the pages of the booklet. Happiness!

jrranger3

We give props to the staff at Badlands National Park for helping us!

jrranger4

Visual Comprehension and Justification

The MRI indicated a lesion worth a deeper look. The tech marked my breast in one room using an ultrasound machine that was new. When the radiologist attempted to locate it in the biopsy room, she spent a half an hour trying to find the exact location of the suspicious lesion. At one point I murmured, “So much flesh…” and she gently said, “No. This machine isn’t as new or as good as the one in the other room.” As time passed, though, I began to feel self-conscious and uncertain. I mean, if it’s so hard to find, should I even be there at all? The equipment, time, and expertise cost a great deal of money. If it’s so small, maybe I’m wasting all that. Just because they can see something on the MRI doesn’t mean it’s necessarily a big deal. I said something about this, and the doctor assured me (as of course she would) that certainly it’s worth looking at. She also said that yes, the highly sensitive machines and tests sometimes can find something that turns up benign, but that to be sure is better. Still, I had this feeling of wasting resources. What helped me feel like further testing is justified was a) that the doctor said if it were her breast, she’d pursue it and b) once she knew I’ve had atypical hyperplasia before she was adamant I do it (an MRI breast biopsy).

Yet sometimes it helps to actually measure something and compare. The suspicious lesion is 6 x 8 x 4 millimeters. So I went through my art supplies and found something that fits those dimensions. Then I compared this to a dime (see picture). The visual impact was persuasive. While this is not a huge lump, it is not microscopic either. It is not small, when one considers the breast. It is real, and it wasn’t there a year ago. I spent a few hours reading up on breast cancer and radiology terms. If I wasn’t convinced before that this is worth taking seriously, I am now. And yes, if it’s benign, it’s still worth checking.

The point of having this technology and being identified as high risk (42.5% lifetime chance) is to stay on top of changes so they don’t become big lumps, by which time the diagnosis is invasive cancer and/or possible metastasis requiring mastectomy, lymph node dissection, chemotherapy, and radiation. The point is that if caught early, prognosis is excellent. It’s far more costly (to insurance and to me) to wait for a lump to become palpable and treat it.

Intellectually I know that I am worth time, attention, and resources. Yet it was showing myself the physical dimensions of this lesion that settled it.

In 2011, I had a lesion that required surgical biopsy. It was 5 mm (don’t know all dimensions), and they ended up taking a not-small chunk of my breast with it. The pathology report indicated atypical ductal hyperplasia — meaning that abnormally shaped cells were reproducing at a faster than normal rate in my milk duct. It was precancerous, and thus major trouble was nipped in the bud. So yes, this suspicious lesion found by the MRI (but not a mammogram) merits a closer look.

size comparison

One of Those Days

I’m having one of those days — I am so grateful to be alive.

The act of walking, the taste of coffee, the coziness of a blanket.

The emotion stirred by music, the brain food from books, the hugs from my child.

Greeting the parent who shows up every school morning to be crossing guard.

My breath with its precious oxygen that feeds my blood which my heart pumps reliably and perpetually through my body according to instructions from my nervous system and brain.

That any of it IS remains a mystery and a miracle.

Depression Explained

Depression isn’t just feeling sad. There is an insidious pull, a lethargy of soul, that infuses one’s life. I’ve had depression since my teens. Talk therapy has helped enormously. Medication has certainly improved the quality of my life. Lately, however, I have noticed a certain flatness of my spirit. I’m writing this post to force myself to break through the caul of apathy. I have been working out, and that helps a bit. I’ve been coping by reading, but reading is a form of ingestion and thus passive. The other part of my being, the creator, is the part that depression has sedated.

This video gives a brief overview of one theory of the biological basis for it.

Link is here.

Enlightenment Through a Cat

God has come into my life. Now, don’t click away. Don’t let that word shut you down. I might not mean what you think I mean. It’s not a word I’ve used in my life for years. Stay with me while I meander through my story.

1797566_4931336779397_929380257796196028_n

This is Smokey. He’s been around a long time. He was in the neighborhood when we moved into the house five years ago. He belongs to no one and everyone. For years, I would scratch behind his ears and say hello, and then I’d go on with my life. Someone fed him. Someone gave him shelter in bad weather. But he was just around, and I did not seek him, nor did he seek me. (Of course, my Stella cat was still with us until January 2014.)

In January, Smokey began hanging out in our back yard. He would sleep in our garden. He liked to pop bubbles with Bean. He starting sitting on my lap. He allows me to trim his nails. Even though we didn’t feed him, he stuck around. Last month, I began feeding him. I did this after he brought me a live bird he’d caught and delivered to my feet. So now he gets two meals a day.

11024708_4843941554571_6699924667769600965_n
11015481_4843942274589_6696675537004441444_n-1

I made him a little shelter when rainstorms came. But mostly, he likes to sleep on me or the mulch.

He was injured in early April, so I took him to a vet. He didn’t want to go, but once there he chilled in the exam room waiting for the doctor. I’ve never seen a cat so mellow at a vet’s office.

11121769_4963036371867_8193321224057923090_n

My husband is not open to having another pet, so for now, Smokey is not permitted in the house. He strides right in the front door some mornings, though, clearly telling us he wants to be ours. I usher him out.

The other day as I sat on my patio with Smokey on my lap, this thought arose: “Every afternoon, God takes a nap on my lap.”

IMG_20150423_132111
IMG_20150423_132010

Where did that come from? I don’t know, but it felt true and real. Last Saturday morning after I fed him, I reflected on the morning. And one sentence that came was, “I fed God breakfast, and now he has gone to stroll the neighborhood, looking after all the world.”

Oh my goodness. Yes. God sought me out. God has chosen me. God loves me, and I love God. This word — God — is loaded with so much history for me. It evokes vastly different meanings for people, and so I avoid using it. But this is what IS in my life. This cat. His arrival, his presence, is a call to sit and be quiet. An invitation to intimacy. I recognize God in my life. THIS is what it means to have a relationship with God!

IMG_20150429_155619

Extending that metaphor, I experience God everywhere. In every person, animal, plant, and rock. God is everything and everywhere. God is found in acts of care, and God is found in simple being. My goodness! Now I get what namaste means! Yeah, yeah, I’d always known what it meant, but now I experience it in my being.

11156414_4997330029187_605680426074845492_n

I have used many words to suggest what is divine in my life: Presence, the Mystery, Buddhamind, Spirit, Being, Ground of Being, Life, Chi, Love. They allude to what I mean; they can only suggest. Just as the a photo of the moon is not the moon, a word is not the thing it references. Something as multi-faceted as the Universe can be explored through science, math, literature, and art, but it cannot be totally integrated by the human mind. So we need shorthand, a word or a number, like X, to represent the holy mystery of All That Exists and our relationship with it. Lately, that “something” is the word God. So, God it is.

Math Before Coffee

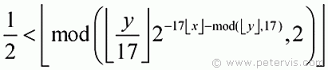
Tupper's Self-Referential FormulaMath is a language. You can learn bit by bit, or you can learn by immersion. I suspect the former is a more successful process. However, this morning my brother tweeted about “fun with math” and linked to a video about the “everything” number. It’s about Tupper’s Self-Referential Formula.

Link here.

Thus began my introduction to a “simple” formula that can plot itself on a graph. It can also be used to draw any other two-dimensional image.

I mentioned this to Hub, and who looked up the term; this led to a comment, “He’s cheating! He’s using mod and floor.” WTH does that mean?

Now, this is usually where I start feeling dumb and intimidated. But I admitted not knowing, and thus learned that “mod” is short for modular. Basically, it is the remainder in a long division problem. The mod (modular operator) of 5 divided by 2 is 1. Modular arithmetic — who knew?

On to floor and ceiling. Floor refers to mapping a real number to its next lower integer: the floor of 7.1 is 7. The floor of 7.8 is also 7. Ceiling refers to mapping a real number up to its next higher integer: the ceiling of 7.1 is 8. The ceiling of 7.8 is 8. This is different function from rounding. If I round 7.1, the answer is 7; if I round 7.8, the answer is 8. I am told this is used in computer programming and math.

As for the formula, it’s related to computer graphics. Hub went on to tell me about SIGGRAPH, which stands for Special Interest Groups on GRAPHICS and Interactive Techniques. It’s a group of computer professionals who spend their time creating the graphics you see on your computer, phone, tablet, movies, robotics, in emerging technologies, as well as what is used in research. He also suggested I look up the Utah Teapot and Lenna.

Martin Newell, a graphics researcher, created a mathematical model of an ordinary teapot in order to create a 3D computer model. It has since become a standard reference object in the graphics community. Go look at it. I’m amazed.

As for Lenna… it is an image of a woman looking coyly over her shoulder, and it is used as a standard test image for high resolution color image processing experiments. Its detail, shading, texture, and flat regions make it a good subject. As for the source of the image? It’s from a Playboy centerfold. Some controversy is associated with the use of the image because of the underlying sexism. Read more here.

I can’t say I learned actual math this morning, but I did come away with new knowledge. And all before I’d had my morning coffee. (Which I still haven’t had, because I just had to sit down and get this out of my head.)

No Matter

“Listen to me, your body is not a temple. Temples can be destroyed and desecrated. Your body is a forest — thick canopies of maple trees and sweet scented wildflowers sprouting in the underwood. You will grow back, over and over, no matter how badly you are devastated.”

–Beau Taplin

How the Universe Thinks

“I will argue that modern science, traditionally considered guilty of reducing our existence to a pointless accident in an indifferent universe, is actually saying the opposite. While it does say that we are an accident in an indifferent universe, it also says that we are a rare accident and thus not pointless.

As we look at planet Earth and the factors that came into play for us to be here, we quickly realize that our planet is very special. Here is a short list: the long-term existence of a protective and oxygen-rich atmosphere; Earth’s axial tilt, stabilized by a single large moon; the ozone layer and the magnetic field that jointly protect surface creatures from lethal cosmic radiation; plate tectonics that regulate the levels of carbon dioxide and keep the global temperature stable; the fact that our sun is a smallish, fairly stable star not too prone to releasing huge plasma burps. Consequently, it’s rather naive to expect life – at the complexity level that exists here – to be ubiquitous across the universe.

Even if there is intelligent life elsewhere and, of course, we can’t rule that out, it will be so remote that for all practical purposes we are alone. Even if SETI finds evidence of other cosmic intelligences, we are not going to initiate a very intense collaboration. And if we are alone, and alone have the awareness of what it means to be alive and of the importance of remaining alive, we gain a new kind of cosmic centrality, very different – and much more meaningful – from the religiously-inspired one of pre-Copernican days, when Earth was the center of Creation: we matter because we are rare and we know it.

The joint realization that we live in a remarkable cosmic cocoon and that we are able to create languages and rocket ships in an otherwise apparently dumb universe ought to be transformative. Until we find other self-aware intelligences, we are how the universe thinks. We might as well start enjoying each other’s company.”

–Marcelo Gleiser, We Are Unique

Thanks to Whiskey River for sharing this.

Building With Stories and Tools

Introducing the Cat Walker, designed and created by Bean. It was engineered to exercise a cat while transporting other beings. (In this case, it’s Benjamin Cranklin the Cat hauling two Katinka the Dolphin Ballerinas.) She made this using her GoldieBlox toys.

DSC06022

The field of engineering consists roughly of 13 % women and 87% men. A couple of years ago, Debbie Sterling, an engineer, asked herself the question of why more girls aren’t interested in engineering, and how to get them excited about the skills related to it. I recall her Kickstarter video mentioning that girls love stories. They aren’t drawn just to build something for the sake of building. Girls like characters and plot. So Sterling set out to create a construction toy that would appeal to girls by giving them stories that incorporate spatial skills, teach engineering principles, and boost confidence in problem-solving.

I contributed to the Kickstarter campaign and ordered the first set, GoldieBlox and the Spinning Machine. The focus is on the skill concept of a belt drive. It contains a storybook, 5 animal figurines, 1 pegboard, 5 wheels, 10 axles, 5 blocks, 5 washers, 1 crank, 1 ribbon. Bean loves playing with it. The biggest attraction is the five animals; they excite her imagination, and she incorporates the GoldieBlox pieces in all sorts of ways with her other toys. Other times she plays just with the pieces (as shown above) and creates things on her own.

Sterling’s company has subsequently produced two more toys. One is called GoldieBlox and the Parade Float; its skill concept is wheel and axel. The other — just released — is GoldieBlox and the Dunk tank, with a focus on hinge and lever mechanics.

We’ve also been pleased with Lego Friends. Bean considered Legos a “boy toy” and avoided them. As soon as the Friends line was introduced she became eager to play with them. Again, the appeal is in the story and characters. (And it thrills her father, who loves Lego and really wanted to share it with her.)

I really appreciate Debbie Sterling’s vision and am delighted there are engineering toys with special appeal to girls. And of course, boys are welcome to play with them (and they do)! The company website states that they will be introducing male characters in the future, and that “everyone is encouraged to discover engineering with Goldie and her friends.” These toys are available at Target, Toys R Us, and Amazon.


If the embed doesn’t work, here is the link: The Launch Video.

Where I’m At

Allie Brosh sums it up beautifully. While I am not soul-crushingly depressed as she was, even a bout of soul-pinching depression has deleterious effects. It’s insidious. I’ve known something is askew, but stumbling in the fog I wasn’t clear about it specifically. Until I read Allie’s Depression Part 2 post, and found myself re-reading it about 10 times a day since, as well as her first post about depression. The fog cleared just enough to identify that yes, I am depressed. I used to get into a bout of it in springtime in years past; it had been a few years, and I’d forgotten about that.

First: Adventures in Depression by Allie Brosh @ Hyperbole and a Half

Second: Depression Part 2 by Allie Brosh @ Hyperbole and a Half

Over the past months I have slogged through feeling:
Hopeless
Helpless
Unmotivated
Pessimistic
Irritable
Angry
Sad
Exhausted
Isolated
Disconnected
Listless
Restless
Insomnia
Foggy-brained
Absent libido

You might argue that this is the human condition. And while that is true to a point, experiencing all these feelings consistently for the past many weeks signifies something is wrong.

The Unseen Ground of All Existence

blue mist

Analysis has its peculiar scientific value, but the Spirit which passes from one person to another as a flame leaps from one coal to another grasps truth in its wholeness as a living thing united within itself. …Spiritual truth cannot be sharply defined like scientific truth. It exists on the dim edge of the unexplored region beyond the horizon of self-conscious thought. The language of the Spirit is symbolic and its suggestions are not so much facts as signs which point beyond themselves to the unseen ground of all existence. So inarticulate sometimes is the voice of the Spirit that it can be expressed only by a sigh, or even by complete silence.

-Howard Brinton

Art Every Day Month – Day 26

abstract landscape - art every day month 12 - day 26

Abstract Landscape / 2.5″ x 3.5″ ink on smooth Bristol paper

The Earth is the only world known so far to harbor life. There is nowhere else, at least in the near future, to which our species could migrate. Visit, yes. Settle, not yet. Like it or not, for the moment the Earth is where we make our stand.

-Carl Sagan